
近日,国际期刊《Energy》在线刊发我校能源与环境科学学院生物质高效炼制与环境工程团队在生物航空煤油制备领域的最新研究成果:《Design of Pt3Ni/TiO2 octahedral alloy catalysts for the production of bio-aviation fuel via photothermal catalysis under a mild condition》(中国科学院一区TOP,影响因子IF = 9.4)。论文链接:https://doi.org/10.1016/j.energy.2025.137749,硕士研究生聂懿宸为论文的第一作者,青年教师李兴勇、院长陈玉保教授为论文共同通讯作者。论文得到了东南大学马隆龙研究员、纽约州立大学Shijie Liu教授的指导。

业内普遍认为,以废弃油脂为原料的生物航煤是航空业减碳的有效途径,但传统高温高压工艺能耗居高不下。本论文研究的一种新型光热耦合催化剂可在低温低压条件下高效转化油脂,为低碳航煤提供节能新路线。
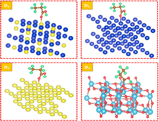
研究团队通过一步水热法合成了Pt₃Ni/TiO₂八面体合金催化剂,其独特的八面体结构暴露出更多 (111) 活性晶面,透射电镜 (TEM) 证实了Pt3Ni合金的存在,且形貌为独特的正八面体结构。实验结果表明,该催化剂催化效率高,其催化底物范围较广,目标产物C₈-C₁₇烷烃选择性达79.1%。与传统工艺相比,大大节约能耗。同时,将昂贵的Pt与非贵金属相结合,有效降低了贵金属的用量,进一步降低了实验成本。此外,理论计算进一步说明,氧空位优先于合金吸附模型分子,同时能够吸附活化氢,合金相对于单一金属具有更强的吸附模型分子能力。


以上研究成果得到国家自然科学基金、云南省重点研发计划、云南省基础研究项目、云南省重点基础研究项目、云南省院士专家工作站、云南省国外人才引进,云南省智慧青年科学家等项目的支持。
(能源与环境科学学院 供稿)